The sale marked the very first time that a major auction house sold a work of art that was created by artificial intelligence. The piece, created by an AI developed by the Paris-based art collective known as Obvious, sold Thursday as part of Christie's Print and Multiples art auction in New York.
The artwork is just one of 11 paintings in a series of portraits that Obvious created, depicting the fictitious members of the Belamy family. Obvious consists of artists Hugo Caselles-Dupré, Pierre Fautrel and Gauthier Vernier, according to a statement released by the auction house.
— Ashish Sen Gupta (@ashishsengupta) October 26, 2018
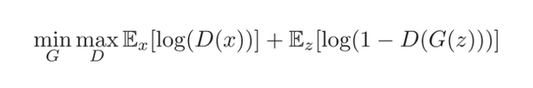
The creation of Edmond came as a result of using an algorithm "defined by an algebraic formula" and then transferring the images of some 15,000 classic portraits through a computer software.
"The algorithm is composed of two parts," Caselles-Dupré, explaining the process, said in a statement released by the auction house. "On one side is the Generator, on the other the Discriminator. We fed the system with a data set of 15,000 portraits painted between the 14th century to the 20th."
"The Generator makes a new image based on the set, then the Discriminator tries to spot the difference between a human-made image and one created by the Generator. The aim is to fool the Discriminator into thinking that the new images are real-life portraits. Then we have a result."

Aside from the success of the auction, there are other curious questions bubbling up around the topic of AI-generated painting. Take for instance the matter of authorship — is the painting's creator the algorithm or the folks behind the scene, in this case Obvious?
According to Caselles-Dupré, it all depends on how one chooses to define the work. "If the artist is the one that creates the image, then that would be the machine. If the artist is the one that holds the vision and wants to share the message, then that would be us [Obvious]," he said.
Presently, it's unclear whether or not Christie's will be playing a hand in the sale of the 10 other paintings depicting the Belamy family, which are currently actively listed on Obvious' website, some with price tags around $11,000.
Richard Lloyd, the international head of prints and multiples at Christie's, told AFP that he decided to persuade the collective into posting their work through the auction house in order to encourage a debate regarding AI in art.
"I know it's a debate that's going on quite widely. I thought that in a way this marked a watershed — or slightly a tipping point," Lloyd told the outlet. "This is developing incredibly fast. Only in five or 10 years we will look back on this, and it will look very different."
"Artists who are great adopters of technology, they will seize AI… Artists will use it to generate images which they will then modify… It will be quite seamless," he added.
The buyer of the painting was an anonymous telephone bidder who managed to outbid five other interested collectors.

